应试指导
2021高考数学山西(文科)真题及解析

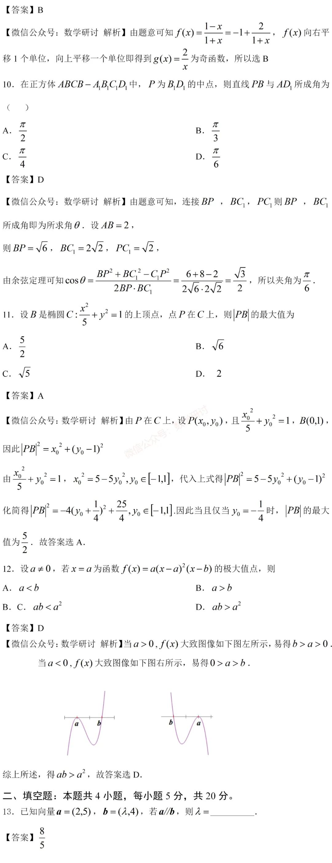
来源:公众号:数学研讨